Accidentés accidenté: Guy Bilodeau

Demande au TAQ juillet 2016

SELECT categories.* FROM (SELECT DISTINCT CAST(SUBSTRING(members.anchor, 10) AS UNSIGNED) AS target FROM yacs_members AS members WHERE (members.member LIKE 'article:6304') AND (members.anchor LIKE 'category:%')) AS ids, yacs_categories AS categories WHERE (categories.id = ids.target) AND (categories.active='Y') AND ((categories.expiry_date is NULL) OR (categories.expiry_date <= '0000-00-00 00:00:00') OR (categories.expiry_date > '2026-03-16 22:54:28')) ORDER BY rank, title, edit_date DESC LIMIT 0,40
1064: You have an error in your SQL syntax; check the manual that corresponds to your MySQL server version for the right syntax to use near ', title, edit_date DESC LIMIT 0,40' at line 1

PrécédentSuivantIndex

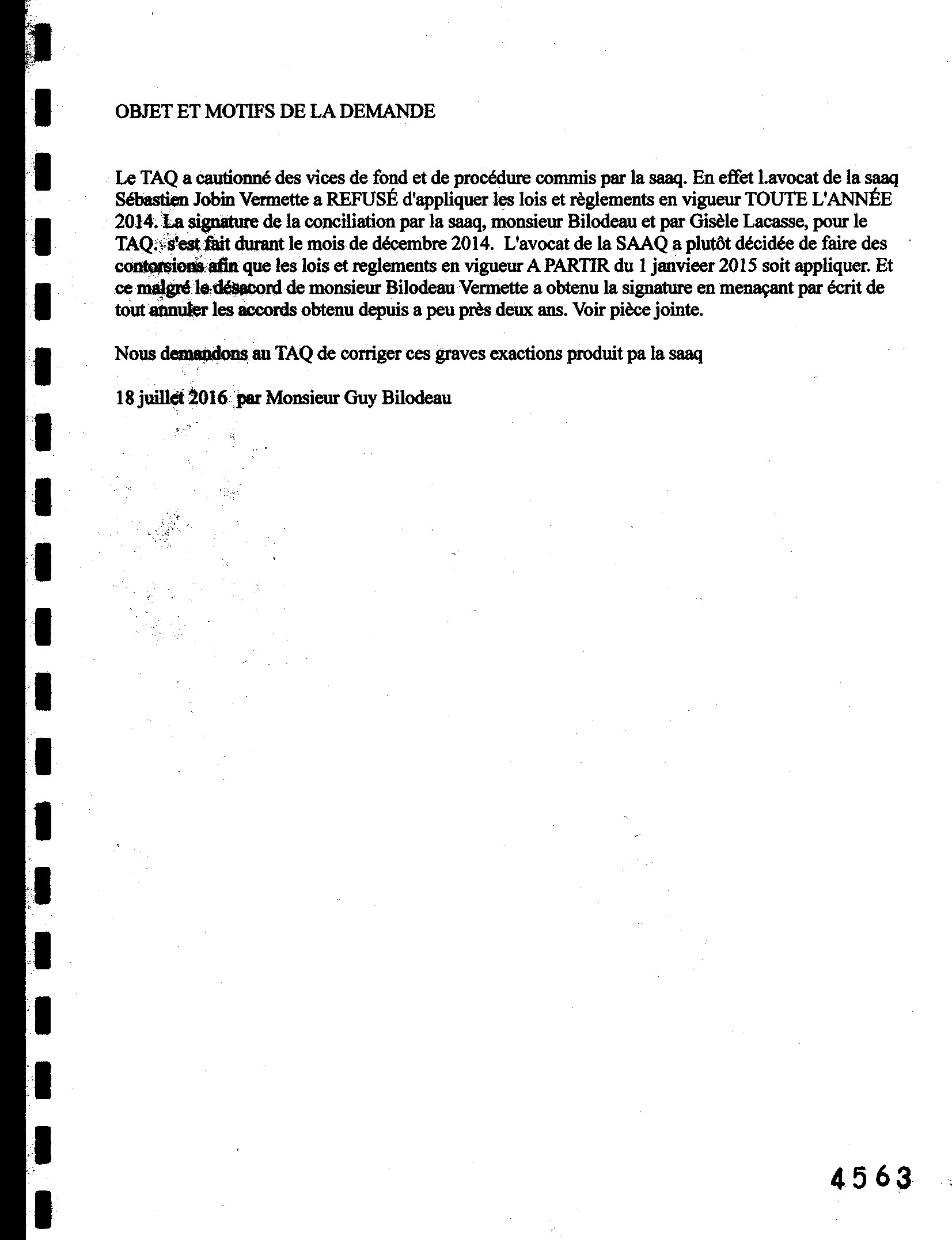
OBJET ET MOTIFS DE LA DEMANDE


Le TAQ a cautionné des vices de fond et de procédure commis par la saaq. En effet I.avocat de la saaq Sébastien Jobin Vermette a REFUSÉ d'appliquer les lois et règlements en vigueur TOUTE L'ANNÉE 2014. La signature de la conciliation par la saaq, monsieur Bilodeau et par Gisèle Lacasse, pour le TAQ., s'est fait durant le mois de décembre 2014. L'avocat de la SAAQ a plutôt décidée de faire des contorsions afin que les lois et reglements en vigueur A PARTIR du 1 janvieer 2015 soit appliquer. Et ce malgré ledésacord de monsieur Bilodeau Vermette a obtenu la signature en menaçant par écrit de tout annuler les accords obtenu depuis a peu près deux ans. Voir pièce jointe.


Nous demandons au TAQ de corriger ces graves exactions produit pa la saaq 18 juillet 2016 par Monsieur Guy Bilodeau
4563

Fichiers

TAQ requete juillet2016 3pages 0002.jpg

partagé par Carmen Fréchette le 27 mai 2019 à 12:26 GMT · 34 téléchargements · 330 376 octets · dans Demande au TAQ juillet 2016

détails

TAQ requete juillet2016 3pages.jpg

partagé par Carmen Fréchette le 27 mai 2019 à 12:26 GMT · 27 téléchargements · 657 337 octets · dans Demande au TAQ juillet 2016

détails

TAQ requete juillet2016 3pages 0001.jpg

partagé par Carmen Fréchette le 27 mai 2019 à 12:26 GMT · 37 téléchargements · 602 188 octets · dans Demande au TAQ juillet 2016

détails

PrécédentSuivantIndex