2001 demande corrections expertise
SELECT categories.* FROM (SELECT DISTINCT CAST(SUBSTRING(members.anchor, 10) AS UNSIGNED) AS target FROM yacs_members AS members WHERE (members.member LIKE 'article:1055') AND (members.anchor LIKE 'category:%')) AS ids, yacs_categories AS categories WHERE (categories.id = ids.target) AND (categories.active='Y') AND ((categories.expiry_date is NULL) OR (categories.expiry_date <= '0000-00-00 00:00:00') OR (categories.expiry_date > '2026-03-17 03:13:39')) ORDER BY rank, title, edit_date DESC LIMIT 0,40
1064: You have an error in your SQL syntax; check the manual that corresponds to your MySQL server version for the right syntax to use near ', title, edit_date DESC LIMIT 0,40' at line 1
Monsieur Bilodeau envois par fax, à la Société de l'assurance automobile du Québec et au Tribunal administratif du Québec une demande de rectification à l’expertise du docteur Girard. Monsieur Bilodeau annexe 9 feuillets extraits de son dossier médical.
Le 22 septembre 2001
Nous n'avons pas ici les copies conformes du fax mais ces mêmes pages ont été envoyés à monsieur Gélinas puisque nous n'avons pas eu de réponse au fax... .
|
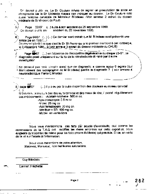
Il s’agit de : o La preuve que le Dr Sykiniotis avait référé monsieur Bilodeau au chiropraticien Denis Lebreux (voir à la page 15 du dossier médical) o Le diagnostic d’entorse cervicale du Dr Couture et son refus de faire un papier pour justifier les rendez-vous avec le chiropraticien. (voir aux pages 16 et 17 dossier médical) o Le rapport médical du docteur Michel St-Pierre, daté du 9 décembre 1991 ( voir aux pages 51 et 52 du dossier médical ) o L’expertise du docteur Pierre C. Millette, qui infime objectivement la discopathie dégénérative avec rétrolisthésis. ( voir aux pages 289 et 290 du dossier médical ) o La liste des frais reliés aux traitements de chiropractie, La preuve du paiement par la Société de l'assurance automobile du Québec des frais de déplacement reliés aux traitements de chiropractie (voir page 31 à 33C) |

