Réalités ABUSEURS Cour suprême tranche les causes

vehicules V.R.G.A.

SELECT categories.* FROM (SELECT DISTINCT CAST(SUBSTRING(members.anchor, 10) AS UNSIGNED) AS target FROM yacs_members AS members WHERE (members.member LIKE 'article:5951') AND (members.anchor LIKE 'category:%')) AS ids, yacs_categories AS categories WHERE (categories.id = ids.target) AND (categories.active='Y') AND ((categories.expiry_date is NULL) OR (categories.expiry_date <= '0000-00-00 00:00:00') OR (categories.expiry_date > '2025-12-15 17:35:51')) ORDER BY rank, title, edit_date DESC LIMIT 0,40
1064: You have an error in your SQL syntax; check the manual that corresponds to your MySQL server version for the right syntax to use near ', title, edit_date DESC LIMIT 0,40' at line 1

SELECT sections.* FROM yacs_sections AS sections WHERE (sections.anchor='' OR sections.anchor IS NULL) AND (sections.active='Y') AND (sections.index_map = 'Y') AND ((sections.activation_date is NULL) OR (sections.activation_date <= '2025-12-15 17:35:51')) AND ((sections.expiry_date is NULL) OR (sections.expiry_date <= '0000-00-00 00:00:00') OR (sections.expiry_date > '2025-12-15 17:35:51')) ORDER BY rank, title, edit_date DESC LIMIT 0,8
1064: You have an error in your SQL syntax; check the manual that corresponds to your MySQL server version for the right syntax to use near ', title, edit_date DESC LIMIT 0,8' at line 1

March 6, 2001

Mr. Serge Brodeur, for the Appellant

Mr. Christian Desrosiers, for the Responden


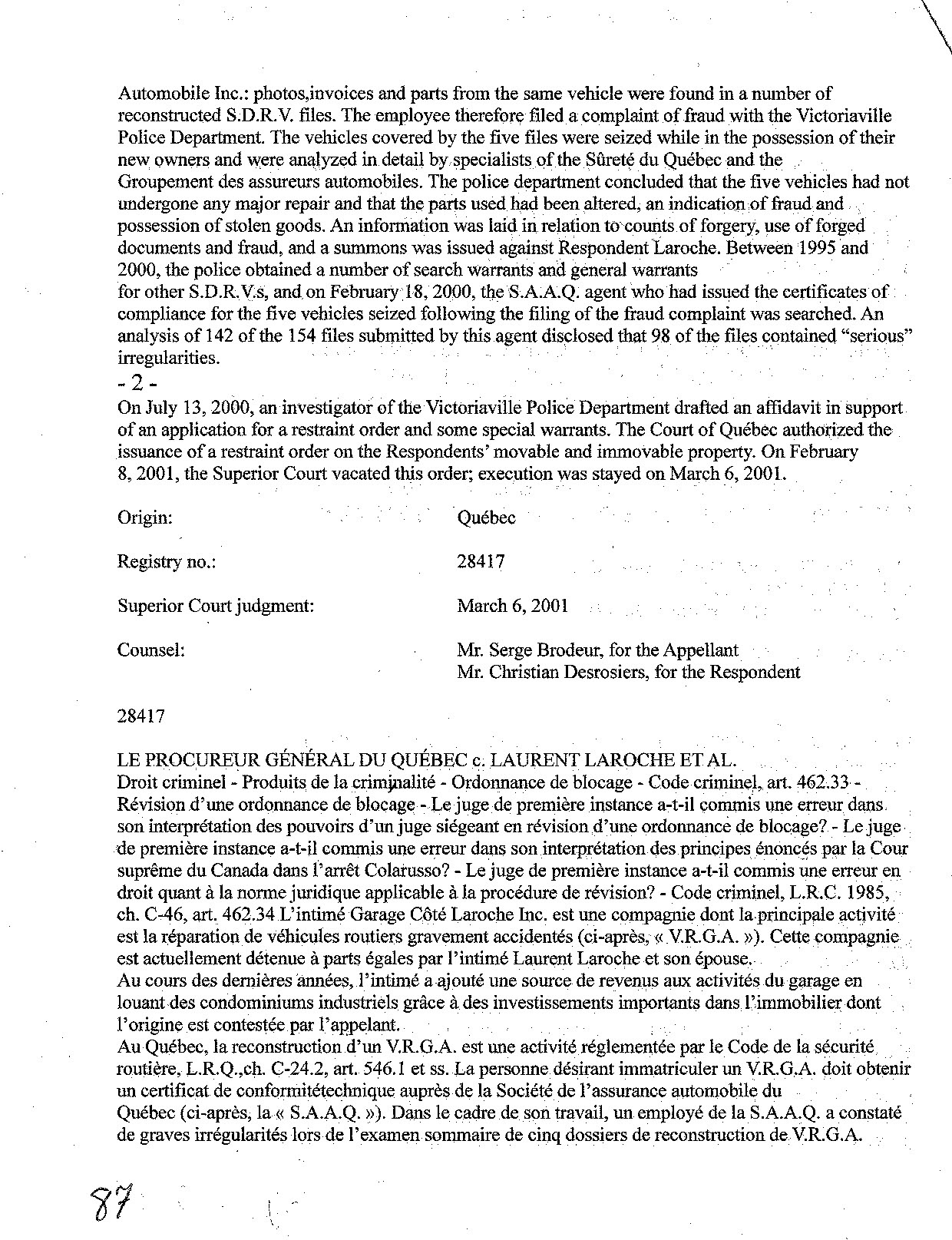
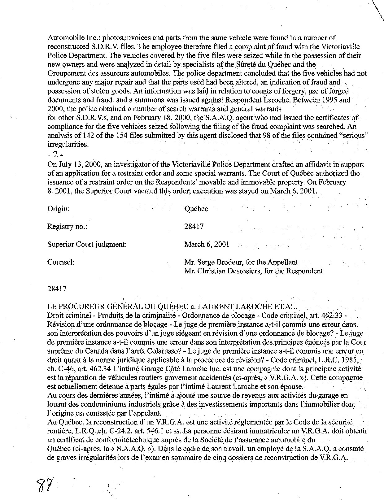
LE PROCUREUR GÉNÉRAL DU QUÉBEC c. LAURENT LAROCHE ET AL. Droit criminel - Produits de la criminalité - Ordonnance de blocage - Code criminel, art. 462.33 - Révision. 'une ordonnance de blocage -.Le juge de première instance a-t-il commis une erreur dans: son interprétation des pouvoirs d'un juge siégeant en révision d'une ordonnance & blocage?. - Le juge de première instance a-t-il commis une erreur dans son interprétation des principes énoncés par la Cour suprême du Canada dans l'arrêt Colanisso? - Le juge de première instance a-t-il commis une erreur en droit quant à la norme juridique applicable à la procédure de révision? - Code criminel, L.R.C. 1985, ch. C-46, art. 462.34 L'intimé Garage Côté Laroche Inc. est une compagnie dont l•principale activité est la réparation de véhicules routiers gravement accidentés (ci-après, « V.R.G.A. »).

Cette.compagnie est actuellement détenue à parts égales par l'intimé Laurent Larache et son épouse.  Au cours des dernières 'années, l'intimé a ajouté une source de revenus aux activités du garage en louant des condominiums industriels grâce a des investissements importants dans l'immobilier dont l'origine est contestée par l'appelant. Au Québec, la reconstruction d'un V.R.G.A. est une activité régleinentée par le Code de la sécurité, routière, L.R.Q.,ch. C-24.2, art.. 546.1 et ss. La personne désirant immatriculer un V.R.G.A. doit obtenir un certif cati de conforrnitétechnique auprès de la Société de l'assurance automobile du Québec (ci-après; la « S.A.A.Q. »). Dans le cadre de son travail, un employé de la S.A.A.Q. a constaté de graves irrégularités lors de l'examen sommaire de cinq dossiers de reconstruction de V.R.G.A.

Fichiers

Cour supreme 16 01 2002 page3de3.jpg

partagé par Carmen Fréchette le 11 mar. 2019 à 18:42 GMT · 26 téléchargements · 845 040 octets · dans Vehicules V.R.G.A.

détails

Cour supreme 16 01 2002 page2de3.jpg

partagé par Carmen Fréchette le 11 mar. 2019 à 18:41 GMT · 24 téléchargements · 845 040 octets · dans Vehicules V.R.G.A.

détails

Cour supreme 16 01 2002 page1de3.jpg

partagé par Carmen Fréchette le 11 mar. 2019 à 18:41 GMT · 30 téléchargements · 772 149 octets · dans Vehicules V.R.G.A.

détails